| 일 | 월 | 화 | 수 | 목 | 금 | 토 |
|---|---|---|---|---|---|---|
| 1 | 2 | 3 | 4 | 5 | 6 | |
| 7 | 8 | 9 | 10 | 11 | 12 | 13 |
| 14 | 15 | 16 | 17 | 18 | 19 | 20 |
| 21 | 22 | 23 | 24 | 25 | 26 | 27 |
| 28 | 29 | 30 | 31 |
- material3
- Design Pattern
- 추상팩토리패턴
- Coroutines
- 코틀린멀티플랫폼
- 빌터패턴
- designPattern
- 디자인패턴 #
- 프로토타입 패턴
- kmp
- android designsystem
- PrototypePattern
- ㅋㅁ
- builderPattern
- Observer Pattern
- 코루틴
- 팩토리 메소드
- 옵저버 패턴
- factory method
- define
- 디자인패턴
- 안드로이드 디자인시스템
- 함수형프로그래밍
- Functional Programming
- 추상 팩토리
- compose
- kotlin multiplatform
- 코틀린
- Abstract Factory
- Kotlin
- Today
- Total
오늘도 더 나은 코드를 작성하였습니까?
Algorithm(알고리즘) 기본 수학(조합, 순열, 소수 등) 정리 feat. kotlin 본문
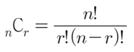
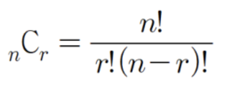
1. 조합(★★★★★)
정의 - 서로 다른 n개의 원소가 모인 집합에서 r개로 이루어진 집합을 뽑는 경우의 수
컴퓨터의 데이터를 다룰때 기본적으로 자료구조(배열, 리스트...등) 데이터를 담아서 조합을 이용한다.
즉, 그래서 index를 선택함으로 구현한다.
완전탐색 문제에서 자주 사용된다.

* n C r = n C n-r
구현
r이 3이하인 경우 반복문으로 구현.
fun main() {
val arr = Array(4){ it }
// n = arr.size r = 3 일때
for (i in 0 until arr.size){
for (j in i+1 until arr.size){
for (k in j+1 until arr.size){
println("i:$i j:$j k:$k")
}
}
}
}
r이 4이상인 경우 재귀로 구현.
val combinationList = mutableListOf('a', 'b', 'c', 'd')
var combinationTotalCnt = 0
// 조합의 결과 뽑은 index를 담을 배열.
val resultList: MutableList<Int> = mutableListOf()
fun combination(n: Int, r: Int, start: Int = 0) {
if (resultList.size == r) {
/*
logic
* */
combinationTotalCnt += 1
println(resultList.joinToString(" "))
return
}
for (i in start until n) {
// 뽑고 -> 다음 idx 부터 뽑도록 start param i+1로 증가
resultList.add(i)
combination(n, r, start = i + 1)
// 원복.
resultList.removeLast()
}
}
fun main() {
combination(combinationList.size, 3)
println("combinationTotalCnt: ${combinationTotalCnt}")
}
2. 순열(★★★★☆)
정의 - 서로 다른 n 개 중 r 개를 골라 순서를 고려해 나열한 경우의 수.
완전탐색문제에서 자주 사용되지만, 상대적으로 조합보다 덜 사용된다.

조합과 달리 순서가 변경되면 다른 경우의 수로 취급을 하여 뽑아야되기 때문에, "뽑고 다음것을 뽑고 원복" 하는 조합 코드와는 다르다.
조합은 다음 재귀호출에서 이전에 뽑은 idx에 +1 부터 반복을 시작하여 중복을 선택하지 않으면서, 순서도 고려하지 않고 뽑을 수 있었지만, 순열은 순서를 고려해야되기 때문에 항상 매 재귀마다 idx = 0 부터 뽑되, 중복 선택을 막기 위한 체크를 위한 배열이 필요하다.
var isSelect = BooleanArray(permutationArr.size) { false }
구현
val permutationArr = arrayOf(
'a', 'b', 'c', 'd', 'e'
)
var isSelect = BooleanArray(permutationArr.size) { false }
// result 항상 index 담아둔다.
val permutationResult = mutableListOf<Int>()
var permutationTotalCnt = 0
fun permutation(n: Int, r: Int) {
// 카운트 숫자를 매개변수로 주어 뽑으려는 수까지 cnt를 세게되면 메서드 종료
if (permutationResult.size == r) {
/*
logic
*/
permutationTotalCnt += 1
println(permutationResult.joinToString(" "))
return
}
//매번 재귀 마다 반복문 시작이 0부터 시작함.
for (i in 0 until n) {
// 중복 선택을 방지한다.
if (isSelect[i]) continue
permutationResult.add(i)
isSelect[i] = true
permutation(n = n, r = r)
permutationResult.removeLast()
isSelect[i] = false
}
}
fun main() {
permutation(n= permutationArr.size, r= 4)
println("PermutationTotalCnt: $permutationTotalCnt")
}
3. 소수(★★★☆☆)
정의 - 1과 자기 자신만으로 나누어 떨어지는 1보다 큰 양의 정수
자주 출제되지는 않지만, 출제되어 효율성을 묻는 문제라면, 특히, 에라스토테네스의 체를 사용해야된다면, 효율성을 통과하지 못할 가능성이 높다. 코드가 간단하기에 외우도록 하자.
/*
* 정의에 충실한 단순 구현
* 가장 단순하고 비효율적인 방법
* 시간 복잡도 O(N)
*/
fun isPrimeV1(n: Int): Boolean {
if (n == 1) return false
if (n == 2) return true
for (i in 2 until n) {
if (n % i == 0) return false
}
return true
}
효율성 개선
import kotlin.math.sqrt
/*
* 곱의 절반인 sqrt(n.toDouble()).toInt()까지만 반복.
* 시간 복잡도 O(logN)
*/
fun isPrimeV2(n: Int): Boolean {
if (n == 1) return false
if (n == 2) return true
val end = sqrt(n.toDouble()).toInt()
for (i in 2..end) {
if (n % i == 0) return false
}
return true
}
에라토스 테네스의 체
/*
* 특정 정수 n까지 모든 정수에 대한 소수를 미리 판별해 놓고,
* 여러번 오는 쿼리에 대해서 빠르게 처리한다.
* O(1)
*
*/
val primes = mutableListOf<Int>()
fun eratos(n: Int) {
/* idx = 해당 수를 의미하고
* arr[idx] = 1 이면 소수
* arr[idx] = 0 이면 소수가 아님을 뜻한다.
* 초기화 - 모든 값을 1로 초기화 한다.
* 0, 1은 소수가 아니다.
*/
val arr = IntArray(n + 1) { 1 }
arr[0] = 1
arr[1] = 0
// 2 .. n 까지 반복
for (i in 2..n) {
// 이미 0이면 건너뜀.
if (arr[i] == 0) continue
// 자신을 제외한 배수를 arr[idx] = 0 로 만들어 준다.
for (j in i*2 ..n step i){
arr[j] = 0
}
}
// 소수로 판명된 것들은 리스트에 담음.
for (i in 2..n) {
if (arr[i] != 0) {
primes.add(i)
}
}
}
fun main() {
eratos(10000)
println(primes.joinToString(" "))
}
4. 최대 공약수, 최소 공배수(★★☆☆☆)
정의
최소 공배수 - 두개의 정수 a, b의 공통 배수 중에서 최소인 것
최대 공약수 - 두개의 정수 a, b의 공통 약수 중에서 최대인 것
/*
gcd - 최대 공약수
두 수 a, b 있고 a > b다면, val r = a / b
a와 b의 최대 공약수는 b와 r의 공약수와 같다.
lcm - 최소 공배수
(a * b) / 최대 공약수
*/
fun gcd(num1: Int, num2: Int): Int {
var (a, b) =
if (num1 > num2) {
num1 to num2
} else {
num2 to num1
}
while (b != 0) {
val r = a % b
a = b
b = r
}
return a
}
fun lcm(a: Int, b: Int): Int {
return a * b / gcd(a, b)
}
fun main() {
println(gcd(200, 160))
println(lcm(200,160))
}
'Algorithm > 개념' 카테고리의 다른 글
| 그래프 탐색 - 깊이우선 탐색 (DFS Depth-First Search) feat.kotlin (0) | 2023.10.12 |
|---|---|
| 그래프(graph)의 기본 개념(feat.kotlin) (2) | 2023.10.12 |
| 모듈러 연산. (0) | 2023.08.26 |
| Algorithm(알고리즘) 병합 정렬(merge sort) 정리 feat. kotlin (0) | 2023.08.17 |
| Algorithm(알고리즘) 기본 정렬(sort) 정리 feat. kotlin (0) | 2023.08.17 |
