Notice
Recent Posts
Recent Comments
Link
| 일 | 월 | 화 | 수 | 목 | 금 | 토 |
|---|---|---|---|---|---|---|
| 1 | 2 | 3 | 4 | 5 | 6 | |
| 7 | 8 | 9 | 10 | 11 | 12 | 13 |
| 14 | 15 | 16 | 17 | 18 | 19 | 20 |
| 21 | 22 | 23 | 24 | 25 | 26 | 27 |
| 28 | 29 | 30 | 31 |
Tags
- ㅋㅁ
- Coroutines
- Functional Programming
- Observer Pattern
- kotlin multiplatform
- 팩토리 메소드
- compose
- 추상팩토리패턴
- 코틀린멀티플랫폼
- 디자인패턴 #
- Abstract Factory
- factory method
- android designsystem
- 코틀린
- Design Pattern
- define
- builderPattern
- 프로토타입 패턴
- 빌터패턴
- 코루틴
- 추상 팩토리
- 옵저버 패턴
- 디자인패턴
- 안드로이드 디자인시스템
- PrototypePattern
- 함수형프로그래밍
- material3
- Kotlin
- kmp
- designPattern
Archives
- Today
- Total
오늘도 더 나은 코드를 작성하였습니까?
그래프(graph)의 기본 개념(feat.kotlin) 본문
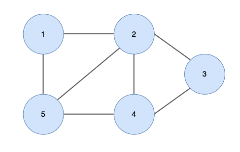
그래프의 정의
vertex와 edge로 구성된 한정된 자료구조를 의미한다.
vertex는 정점, edge는 정점과 정점을 연결하는 간선

기본적으로 알아야 될 용어 및 정의
path 경로 : 한 정점에서 다른 정점 까지의 경로
degree 차수: 하나의 정점에 연결된 간선의 개수
cycle 순환, 회로: 경로의 시작과 끝이 동일한 것
weight, cost, 가중치: 한 정점에서 다른 정점을 연결하는 간선에 부여된 비용.
* 방향성 유무
무방향 즉, 양방향 이동이 가능하다.
방향성 있다 u --> v 는 되지만, u <-- v 는 안됨.
그래프의 표현.
1. 인접 리스트(Adjacency List)
- 각 정점을 기준으로 연결된 정점을 기록한다.
- 한 정점에서 연결된 정점만을 저장하기에 graph 탐색에 있어 유용하다.
val n = 5
val adjList = Array(n + 1) { mutableListOf<Int>() }
fun main() {
// 정점 1에 연결된 2, 5 정점 추가
adjList[1].add(2)
adjList[1].add(5)
// 정점 2에 연결된 1, 3, 4, 5 정점 추가
adjList[2].add(1)
adjList[2].add(3)
adjList[2].add(4)
adjList[2].add(5)
// 정점 3에 연결된 2, 4 정점 추가
adjList[3].add(2)
adjList[3].add(4)
// 정점 4에 연결된 2, 3, 5 정점 추가
adjList[4].add(2)
adjList[4].add(3)
adjList[4].add(5)
// 정점 5에 연결된 1, 2 정점 추가
adjList[5].add(1)
adjList[5].add(2)
adjList[5].add(4)
for (i in 1 until adjList.size){
println("vertex ${i}에 연결된 ${adjList[i].joinToString(",")}")
}
}

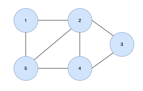
2. 인접 행렬(Adjacency Matrix)
- 간선을 중심으로 두 정점이 연결되어 있는 상태를 표현한다.
- 임의 두 정점의 연결여부를 쉽게 알 수 있다.
val n = 5
val adjMatrix = Array(n + 1) { IntArray(n + 1) { 0 } }
fun main() {
// 1--2
adjMatrix[1][2] = 1
adjMatrix[2][1] = 1
// 2--3
adjMatrix[2][3] = 1
adjMatrix[3][2] = 1
// 2--5
adjMatrix[2][5] = 1
adjMatrix[5][2] = 1
// 2--4
adjMatrix[2][4] = 1
adjMatrix[4][2] = 1
// 3--4
adjMatrix[3][4] = 1
adjMatrix[4][3] = 1
// 4--5
adjMatrix[4][5] = 1
adjMatrix[5][4] = 1
// 5--1
adjMatrix[1][5] = 1
adjMatrix[5][1] = 1
for (i in 1 until adjMatrix.size){
for (j in 1 until adjMatrix[i].size){
print("${adjMatrix[i][j]} ")
}
println()
}
}
공간복잡도
인접리스트 (V + E)
인접행렬 (V^2)
- 인접 리스트는 실제로 연결이된 노드들만 저장을 하지만, 인접 행렬은 모든 연결상태를 표현하기 위해 공간을 조금더 많이 사용한다.
시간복잡도
특정 두 노드 A B의 연결상태 확인할때,
인접리스트 : O(V)
인접행렬 : O(1)
연결된 간선을 이동(탐색)할때,
인접리스트 : O(V + E)
인접행렬 : O(V^2)
'Algorithm > 개념' 카테고리의 다른 글
| 그래프 탐색 - 너비우선 탐색 (BFS Breadth-First Search) feat.kotlin (0) | 2023.10.13 |
|---|---|
| 그래프 탐색 - 깊이우선 탐색 (DFS Depth-First Search) feat.kotlin (0) | 2023.10.12 |
| 모듈러 연산. (0) | 2023.08.26 |
| Algorithm(알고리즘) 병합 정렬(merge sort) 정리 feat. kotlin (0) | 2023.08.17 |
| Algorithm(알고리즘) 기본 정렬(sort) 정리 feat. kotlin (0) | 2023.08.17 |
